



根據介質壓力在端面(或球面)上所引起的比壓卸載情況,可分為平衡型與非平衡型。不卸載的稱為非平衡型旋轉接頭;卸載的稱為平衡型旋轉接頭(部分卸載稱為部分平衡型;全部卸載稱為全平衡型旋轉接頭)。
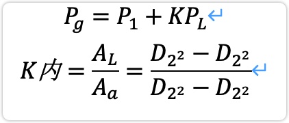
內裝式旋轉接頭機械密封結構,當不計摩擦副密封接觸面間液膜壓力(密封縫隙中液膜推壓力) 及密封圈摩擦力時,作用在端面密封上的比壓由式為:

式中D1、D2、d0為幾何尺寸。
那么

作用在球面上的法向比壓為:
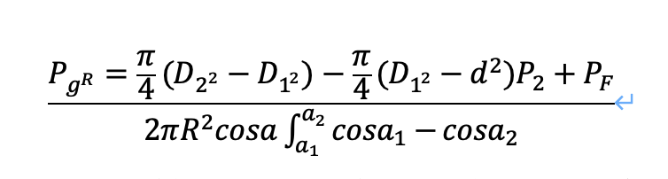
軸向流體載荷合力

作用在球面上任意一點法向力

球面摩擦副接觸球臺公稱側面積

寫成微分式:
那么

式中P1、P2分別為進入和引出旋轉接頭的流體(摩擦副環接觸面處)介質壓力,為彈簧力。PF、D1、D12、d為旋轉接頭端面密封組件尺寸。K內為載荷系數,它表示介質產生的比壓在摩擦面上的載荷程度。
令 β =1-K內
為平衡系數,它表示介質產生的比壓在摩擦副上的載荷程度。
當K內1(β)時為非平衡型旋轉接頭。
0K內1(0β)時,為部分平衡型旋轉接頭。
K內0(β)時,為全平衡型。
從上面公式看出,β值愈大,由介質引起的端面或球面法向比壓愈小,雖然磨損很小。但不易保證密封。反之β值愈小,則端面或球面法向比壓愈小,使摩擦接觸面磨損加快。因此β要選取適當的值,其值大小與很多因素有關,情況比較復雜,一般時根據經驗及試驗去定。
內裝式機械密封旋轉接頭內部結構通常采用非平衡型。
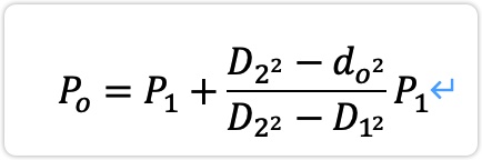
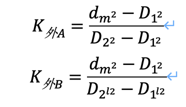
外裝式機械密封旋轉接頭內部結構,當不計摩擦副接觸面間液膜壓力PSL和密封摩擦力PR時,作用在端面上的比壓為:

作用在端面B上的比壓為:

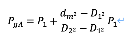
式中D1、D2、D1l、D2l、dm和d為內裝式密封組件尺寸,其中為波紋管的平均直徑。
式中:
K外A,K內B——端面A和B的載荷系數
βA=1-K外A βB=1-K外B
式中
βA、 βB——端面A和B的平衡系數
顯然當時K外≥1(β≤0),為非平衡型旋轉接頭。
0<K外<1(β≤1)時,為部分平衡型旋轉接頭。
K外≤0(β≥)時為全平衡型旋轉接頭。
部分平衡型的端面比壓隨介質壓力增高而增加緩慢,與內裝式一樣,值的范圍在0~0.35之間,值大于0.5后,介質在端面上的推開力將由彈簧力所承受,彈簧力就必須很大,否則端面將被打開。